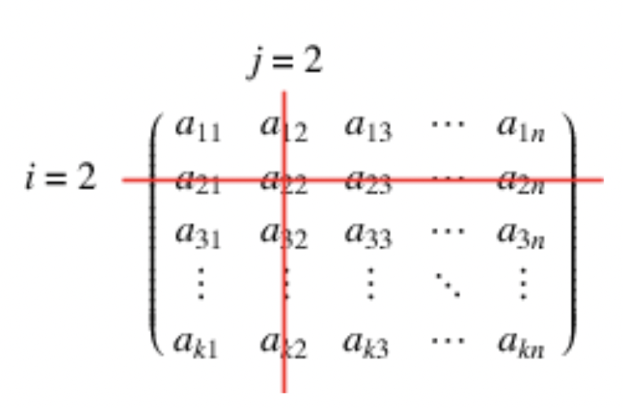
Metadata aliases: [] shorthands: {} created: 2021-12-13 20:18:52 modified: 2022-01-10 04:13:04 A minor is the reduced determinant that is formed by omitting the th row and th column of a matrix.
aliases: [] shorthands: {} created: 2021-12-13 20:18:52 modified: 2022-01-10 04:13:04
The minor of the matrix is given by